Product Feature
● Fast and Convenient
Complete the entire process
of whole-genome library preparation within 3 hr
● Stable and Efficient
Higher library yield
Higher library conversion
rate
Low GC bias
Higher Library Complexity
● Flexible CompatibilityCompatible with liquid-phase hybridization capture
Workflow
Performance
Stable and Efficient Library Yield
Compatible with a wide range of input amounts
Figure 1. Library yield of NadPrep DNA Library Preparation Kit v2 for gDNA samples with different input amounts. The libraries were prepared by using NadPrep DNA Library Preparation Module v2 coupled with NadPrep Universal Adapter (MDI) Module (for MGI) and NadPrep Universal Stubby Adapter (UDI) Module. A. Library yield (MGI); B. Library yield (Illumina).
Note: gDNA samples are human genomic DNA standard (Promega, G1521).
Compatible with various types of samples
Figure 2. Library yield of NadPrep DNA Library Preparation Kit v2 for different types of samples. The libraries were prepared by using NadPrep DNA Library Preparation Module v2 coupled with A. NadPrep Universal Stubby Adapter (UDI) Module and B. NadPrep BMI Adapter (MDI) Module (for MGI), and NadPrep
UMI Adapter Kit (with 10 nt Index), respectively. The number of amplification cycles followed the corresponding user manuals.
Note: The grading standards by electrophoresis are as follows: gDNA: one bright and non-trailing stripe with about 15 kb in size; FFPE C: multiple stripes ranging
from 200 bp to 2,500 bp, with severe diffusion.
Compatible with different types of adapters
Figure 3. Library yield of NadPrep DNA Library Preparation Kit v2 with different types of adapters. The libraries were prepared from different input samples by using NadPrep DNA Library Preparation Kit/Module (for Illumina®/MGI) (NadPrep v1) and NadPrep DNA Library Preparation Module v2 (NadPrep v2), coupled with NadPrep Universal Stubby Adapter (UDI) Module [Universal Stubby (UDI)], NadPrep Universal Adapter (MDI) Module (for MGI) [MDI], NadPrep BMI Adapter (MDI) Module (for MGI) [BMI], and NadPrep UMI Adapter Kit (with 10 nt Index) [UMI].
Note: gDNA samples are human genomic DNA standard (Promega, G1471).
Low GC Bias
Figure 4. Low GC bias in metagenomic samples library preparation using NadPrep DNA Library Preparation Kit v2. GC bias of whole-genome libraries with various GC content such as A. Staphylococcus aureus, B. Escherichia coli, and C. Pseudomonas aeruginosa.
Higher Library Conversion Rate
Figure 5. Library conversion rate of NadPrep DNA Library Preparation Kit v2. 10 ng plasma cfDNA were prepared by using NadPrep DNA Library Prepara tion Module v2 coupled with NadPrep BMI Adapter (MDI) Module (for MGI) and NadPrep UMI Adapter Kit (with 10 nt Index). The capture was performed by using a 2 Kb Panel with μCaler Hybrid System. Sequencing platform: DNBSEQ-T7, PE150; Illumina Novaseq 6000, PE150. For each sample, 1.0 Gb of data was randomly selected for data analysis, and filtering was performed based on Duplex Consensus Sequences (DCS211).
Note: The relative library conversion rate refers to the ratio of library conversion rates achieved by NadPrep v2 and competitor library preparation kits to that of NadPrep DNA Library Preparation Kit/Module (for Illumina®/MGI) (NadPrep v1), with the library conversion rate of NadPrep v1 normalized to 1).
Higher Library Complexity
Figure 6. Library complexity of NadPrep DNA Library Preparation Kit v2. 10 ng plasma cfDNA were prepared by using NadPrep DNA Library Preparation Module v2 coupled with NadPrep UMI Adapter Kit (with 10 nt Index). The capture was performed using a 2 Kb Panel with μCaler hybrid system. Sequencing platform: Illumina Novaseq 6000, PE150. For each sample, 1.0 Gb of data was rand omly selected for data analysis, and filtering was performed based on Duplex Consensus Sequences (DCS211).
Compatible with Liquid-phase Hybridization Capture
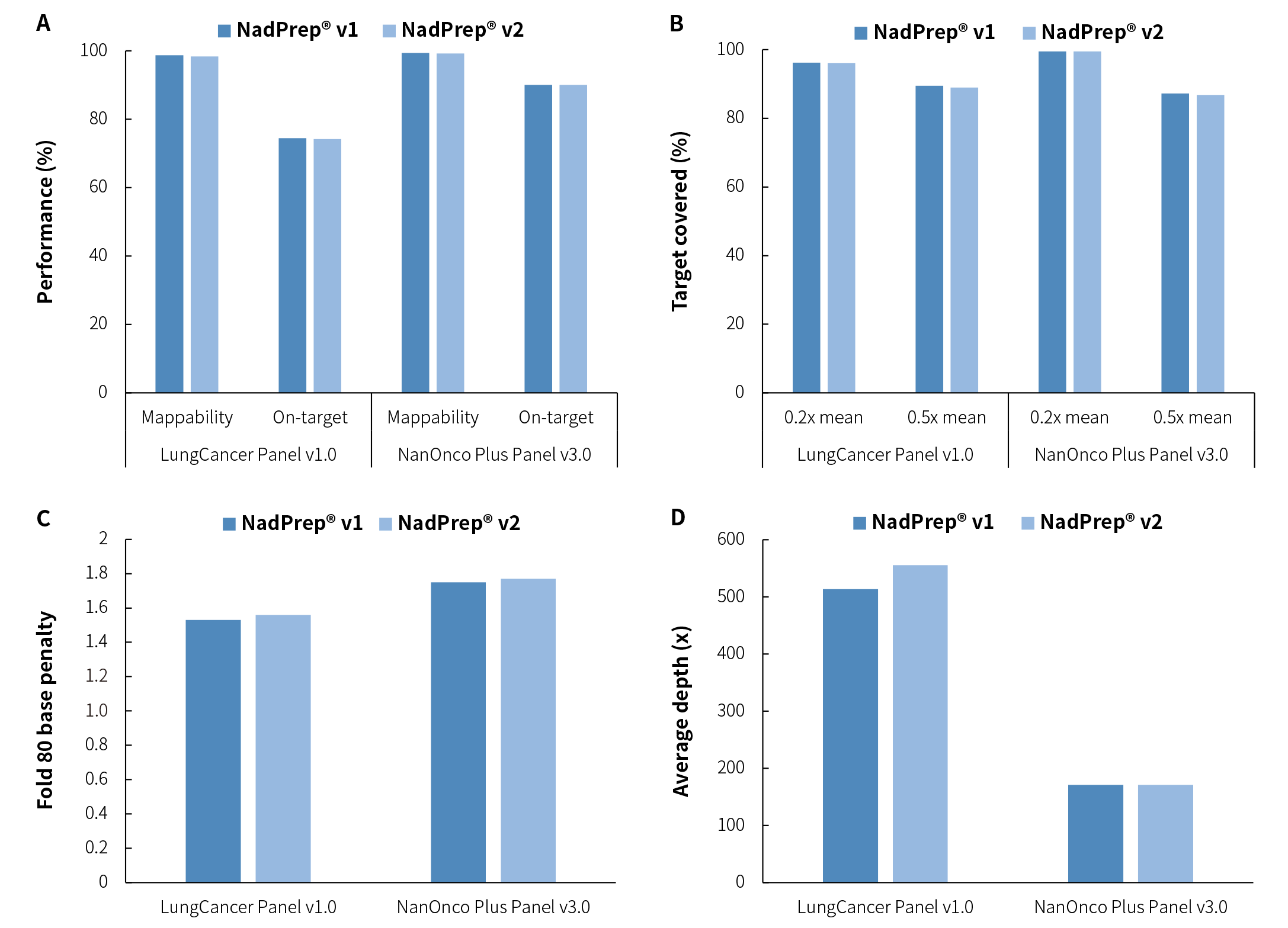
Figure 7. The capture performance of pre-libraries prepared by NadPrep DNA Library Preparation Kit v2. The libraries were prepared from 50 ng FFPE C grade DNA samples by using NadPrep DNA Library Preparation Module v2, and the multi-hybridization reaction was initiated with 500 ng of each pre-library by using LungCancer Panel v1.0 (0.23 Mb) and NanOnco Plus Panel v3.0 (2.4 Mb) coupled with NadPrep Hybrid Capture Reagents. A. Mappability and On-target rate; B. Target covered; C. Fold 80 base penalty; D. Average sequencing depth after deduplication.
Analysis of Mutation in Standard
Figure 8. Consistency of the allele frequencies with the nominal frequencies of the standards in captured data from the libraries prepared by NadPrep DNA Library Preparation Kit v2. The libraries were prepared by using NadPrep DNA Library Preparation Module v2 coupled with NadPrep Universal Stubby Adapter (UDI) Module, with 6 cycles of amplification. The capture was performed using NadPrep Hybrid Capture Reagents with the LungCancer Panel v1.0 (0.23 Mb), with a hybridization time of 16 hr. Sequencing platform: Illumina Novaseq 6000, PE 150.
Note: The samples used were Onco Structural Multplex 5% aDNA (Genewell. GW-OGTM001), with an initial input of 50 ng.
Library Prep Module
| Package | Color of Cap Tube | Component |
Volume 1002421(24 rxn) |
Volume 1002422 (96 rxn) |
| Box1 |
|
EndRepair & A-Tailing Buffer Pro | 180 µL | 690 µL |
|
|
End Repair & A-Tailing Enzyme Pro | 120 µL | 460 µL | |
|
|
Ligation Buffer | 750 µL | 2×1500 µL | |
|
|
DNA Ligase | 65 µL | 250 µL | |
|
|
2X HiFi PCR Master Pro Mix | 720 µL | 2×1600 µL | |
|
/ |
Nuclease Free Water | 2.5 mL | 8 mL | |
|
|
TE Solution | 1 mL | 4 mL | |
| Box2 |
/ |
NadPrep SP Beads | 4 mL | 15 mL |
Universal Adapter (SI) Module (for MGI)
| Color of Cap Tube | Component |
Volume 1003611 (24 rxn) |
Volume 1003621 (96 rxn) |
Volume 1003622 (96 rxn) |
Volume 1003641 (96 rxn) |
|
|
NadPrep M-Index (SI) Primer Mix # | 12×15 µL (Tube) | 24×25 µL (Tube) | 24×25 µL (Tube) | 96×8 µL (Plate) |
|
|
NadPrep M-Adapter (SI) | 60 µL (Tube) | 230 µL (Tube) | 230 µL (Tube) | 260 µL (Tube) |
|
|
NadPrep M-Amplification Primer Mix (for MGI, SI) | 20 µL (Tube) | 75 µL (Tube) | 75 µL (Tube) | 75 µL (Tube) |
Universal Adapter (MDI) Module (for MGI)
| Color of Cap Tube | Component |
Volume 1003711 (24 rxn) |
Volume 1003721 (96 rxn) |
Volume 1003722 (96 rxn) |
Volume 1003725 (96 rxn) |
Volume 1003726 (96 rxn) |
|
|
NadPrep M-Index (MDI) Primer Mix # | 12×15 µL (Tube) | 24×25 µL (Tube) | 24×25 µL (Tube) | 24×25 µL (Tube) | 24×25 µL (Tube) |
|
|
NadPrep M-Adapter (DI) | 60 µL (Tube) | 230 µL (Tube) | 230 µL (Tube) | 230 µL (Tube) | 230 µL (Tube) |
|
|
NadPrep M-Amplification Primer Mix (for MGI, DI) | 20 µL (Tube) | 75 µL (Tube) | 75 µL (Tube) | 75 µL (Tube) | 75 µL (Tube) |
| Color of Cap Tube | Component |
Volume 1003751 (96 rxn) |
Volume 1003752 (96 rxn) |
Volume 1003753 (96 rxn) |
Volume 1003754 (96 rxn) |
|
|
NadPrep M-Index (MDI) Primer Mix # | 96×8 µL (Plate) | 96×8 µL (Plate) | 96×8 µL (Plate) | 96×8 µL (Plate) |
|
|
NadPrep M-Adapter (DI) | 260 µL (Tube) | 260 µL (Tube) | 260 µL (Tube) | 260 µL (Tube) |
|
|
NadPrep M-Amplification Primer Mix (for MGI, DI) | 75 µL (Tube) | 75 µL (Tube) | 75 µL (Tube) | 75 µL (Tube) |
| Color of Cap Tube | Component |
Volume 1003761 (1152 rxn) |
Volume 1003762 (1152 rxn) |
Volume 1003763 (1152 rxn) |
Volume 1003764 (1152 rxn) |
|
|
NadPrep M-Index (MDI) Primer Mix # | 96×72 µL (Tube) | 96×72 µL (Tube) | 96×72 µL (Tube) | 96×72 µL (Tube) |
|
|
NadPrep M-Adapter (DI) | 2×1350 µL (Tube) | 2×1350 µL (Tube) | 2×1350 µL (Tube) | 2×1350 µL (Tube) |
|
|
NadPrep M-Amplification Primer Mix (for MGI, DI) | 900 µL (Tube) | 900 µL (Tube) | 900 µL (Tube) | 900 µL (Tube) |
Universal Stubby Adapter (UDI) Module (for Illumina)
| Color of Cap Tube | Component |
Volume 1003240 (24 rxn) |
Volume 1003241 (96 rxn) |
Volume 1003242 (96 rxn) |
|
|
NadPrep Universal UDI-index Primer Mix # | 12×15 µL (Tube) | 24×25 µL (Tube) | 24×25 µL (Tube) |
|
|
NadPrep Universal Stubby Adapter | 60 µL (Tube) | 230 µL (Tube) | 230 µL (Tube) |
|
|
NadPrep Amplification Primer Mix II | 20 µL (Tube) | 75 µL (Tube) | 75 µL (Tube) |
| Color of Cap Tube | Component |
Volume 1003251 (96 rxn) |
Volume 1003252 (96 rxn) |
Volume 1003253 (96 rxn) |
Volume 1003254 (96 rxn) |
|
|
NadPrep Universal UDI-index Primer Mix # | 96×8 µL (Plate) | 96×8 µL (Plate) | 96×8 µL (Plate) | 96×8 µL (Plate) |
|
|
NadPrep Universal Stubby Adapter | 260 µL (Tube) | 260 µL (Tube) | 260 µL (Tube) | 260 µL (Tube) |
|
|
NadPrep Amplification Primer Mix II | 75 µL (Tube) | 75 µL (Tube) | 75 µL (Tube) | 75 µL (Tube) |
| Color of Cap Tube | Component |
Volume 1003255 (96 rxn) |
Volume 1003256 (96 rxn) |
Volume 1003257 (96 rxn) |
Volume 1003258 (96 rxn) |
|
|
NadPrep Universal UDI-index Primer Mix # | 96×8 µL (Plate) | 96×8 µL (Plate) | 96×8 µL (Plate) | 96×8 µL (Plate) |
|
|
NadPrep Universal Stubby Adapter | 260 µL (Tube) | 260 µL (Tube) | 260 µL (Tube) | 260 µL (Tube) |
|
|
NadPrep Amplification Primer Mix II | 75 µL (Tube) | 75 µL (Tube) | 75 µL (Tube) | 75 µL (Tube) |
| Color of Cap Tube | Component |
Volume 1003261 (1152 rxn) |
Volume 1003262 (1152 rxn) |
Volume 1003263 (1152 rxn) |
Volume 1003264 (1152 rxn) |
|
|
NadPrep Universal UDI-index Primer Mix # | 96×72 µL (Tube) | 96×72 µL (Tube) | 96×72 µL (Tube) | 96×72 µL (Tube) |
|
|
NadPrep Universal Stubby Adapter | 2×1350 µL (Tube) | 2×1350 µL (Tube) | 2×1350 µL (Tube) | 2×1350 µL (Tube) |
|
|
NadPrep Amplification Primer Mix II | 900 µL (Tube) | 900 µL (Tube) | 900 µL (Tube) | 900 µL (Tube) |
UDI Adapter Module (for Illumina®)
| Color of Cap Tube | Component |
Volume 1003221 (24 rxn) |
Volume 1003211 (96 rxn) |
Volume 1003212 (96 rxn) |
|
|
NadPrep UDI Adapter # | 12×10 µL (Tube) | 12×22 µL (Tube) | 12×22 µL (Tube) |
|
|
NadPrep Amplification Primer Mix II | 165 µL (Tube) | 650 µL (Tube) | 650 µL (Tube) |
| Color of Cap Tube | Component |
Volume 1003224* (480 rxn) |
|
|
NadPrep UDI Adapter # | 96×3.5 µL (Plate)×5 |
*Packaging form: 96 rxn/Plate.
BMI Adapter (SI) Module (for MGI)
| Color of Cap Tube | Component |
Volume 1003811 (24 rxn) |
Volume 1003821 (96 rxn) |
Volume 1003822(96 rxn) |
|
|
NadPrep M-Index (SI) Primer Mix # | 12×15 µL | 24×25 µL | 24×25 µL |
|
|
NadPrep BMI-Adapter | 60 µL | 230 µL | 230 µL |
|
|
NadPrep M-Amplification Primer Mix (for MGI, SI) | 20 µL (Tube) | 75 µL (Tube) | 75 µL (Tube) |
BMI Adapter (MDI) Module (for MGI)
| Color of Cap Tube | Component |
Volume 1003911 (24 rxn) |
Volume 1003921 (96 rxn) |
Volume 1003922(96 rxn) |
Volume 1003925 (96 rxn) |
Volume 1003926 (96 rxn) |
|
|
NadPrep M-Index (MDI) Primer Mix # | 12×15 µL | 24×25 µL | 24×25 µL | 24×25 µL | 24×25 µL |
|
|
NadPrep BMI-Adapter | 60 µL | 230 µL | 230 µL | 230 µL | 230 µL |
|
|
NadPrep M-Amplification Primer Mix (for MGI, DI) | 20 µL | 75 µL | 75 µL | 75 µL | 75 µL |
UMI Adapter Module(for Illumina)
Color of Cap Tube
Component
Volume
1103111 (24 rxn)
Volume
1103121 (96 rxn)
Volume
1103122(96 rxn)
NadPrep Universal UDI-Index Primer Mix #
12×15 µL
24×25 µL
24×25 µL
NadPrep UMI Adapter
60 µL
230 µL
230 µL
NadPrep Amplification Primer Mix II
20 µL
75 µL
75 µL
For research use only. Not for use in diagnostic procedures.
| Type | Product | Detail | Catalog# |
| Library Prep Module | NadPrep DNA Library Preparation Module v2, 24 rxn | 24 rxn | 1002421 |
| NadPrep DNA Library Preparation Module v2, 96 rxn | 96 rxn | 1002422 | |
| Universal Adapter (SI) Module (for MGI) | NadPrep Universal Adapter (SI) Module Set A1 (for MGI), 24 rxn | SI 1-12 | 1003611 |
| NadPrep Universal Adapter (SI) Module Set E1 (for MGI), 96 rxn | SI 1-96 | 1003641 | |
| NadPrep Universal Adapter (SI) Module Set B1 (for MGI), 96 rxn | SI 1-24 | 1003621 | |
| NadPrep Universal Adapter (SI) Module Set B2 (for MGI), 96 rxn | SI 25-48 | 1003622 | |
| Universal Adapter (MDI)Module (for MGI) | NadPrep Universal Adapter (MDI) Module Set A1 (for MGI), 24 rxn | MDI 1-12 | 1003711 |
| NadPrep Universal Adapter (MDI) Module Set B1 (for MGI), 96 rxn | MDI 1-24 | 1003721 | |
| NadPrep Universal Adapter (MDI) Module Set B2 (for MGI), 96 rxn | MDI 25-48 | 1003722 | |
| NadPrep Universal Adapter (MDI) Module Set B3 (for MGI), 96 rxn | MDI 49-72 | 1003725 | |
| NadPrep Universal Adapter (MDI) Module Set B4 (for MGI), 96 rxn | MDI 73-96 | 1003726 | |
| NadPrep Universal Adapter (MDI) Module Set E1 (for MGI), 96 rxn | MDI 1-96 | 1003751 | |
| NadPrep Universal Adapter (MDI) Module Set E2 (for MGI), 96 rxn | MDI 97-192 | 1003752 | |
| NadPrep Universal Adapter (MDI) Module Set E3 (for MGI), 96 rxn | MDI 193-288 | 1003753 | |
| NadPrep Universal Adapter (MDI) Module Set E4 (for MGI), 96 rxn | MDI 289-384 | 1003754 | |
| NadPrep Universal Adapter (MDI) Module Set F1 (for MGI), 1152 rxn | MDI 1-96 | 1003761 | |
| NadPrep Universal Adapter (MDI) Module Set F2 (for MGI), 1152 rxn | MDI 97-192 | 1003762 | |
| NadPrep Universal Adapter (MDI) Module Set F3 (for MGI), 1152 rxn | MDI 193-288 | 1003763 | |
| NadPrep Universal Adapter (MDI) Module Set F4 (for MGI), 1152 rxn | MDI 289-384 | 1003764 | |
| Universal Stubby Adapter (UDI) Module | NadPrep Universal Stubby Adapter (UDI) Module Set A1, 24 rxn |
Index
1-12 24 rxn |
1003240 |
| NadPrep Universal Stubby Adapter (UDI) Module Set B1, 96 rxn |
Index 1-24 96 rxn |
1003241 | |
| NadPrep Universal Stubby Adapter (UDI) Module Set B2, 96 rxn |
Index 25-48 96 rxn |
1003242 | |
| NadPrep Universal Stubby Adapter (UDI) Module Set E1, 96 rxn |
Index 1-96 96 rxn |
1003251 | |
| NadPrep Universal Stubby Adapter (UDI) Module Set E2, 96 rxn |
Index
97-192 96 rxn |
1003252 | |
| NadPrep Universal Stubby Adapter (UDI) Module Set E3, 96 rxn |
Index
193-288 96 rxn |
1003253 | |
| NadPrep Universal Stubby Adapter (UDI) Module Set E4, 96 rxn |
Index
289-384 96 rxn |
1003254 | |
| NadPrep Universal Stubby Adapter (UDI) Module Set E5, 96 rxn |
Index
385-480 96 rxn |
1003255 | |
| NadPrep Universal Stubby Adapter (UDI) Module Set E6, 96 rxn |
Index
481-576 96 rxn |
1003256 | |
| NadPrep Universal Stubby Adapter (UDI) Module Set E7, 96 rxn |
Index
577-672 96 rxn |
1003257 | |
| NadPrep Universal Stubby Adapter (UDI) Module Set E8, 96 rxn |
Index
673-768 96 rxn |
1003258 | |
| NadPrep Universal Stubby Adapter (UDI) Module Set F1, 1152 rxn |
Index 1-96 1152 rxn |
1003261 | |
| NadPrep Universal Stubby Adapter (UDI) Module Set F2, 1152 rxn |
Index
97-192 1152 rxn |
1003262 | |
| NadPrep Universal Stubby Adapter (UDI) Module Set F3, 1152 rxn |
Index
193-288 1152 rxn |
1003263 | |
| NadPrep Universal Stubby Adapter (UDI) Module Set F4, 1152 rxn |
Index
289-384 1152 rxn |
1003264 | |
| UDI Adapter Module (for Illumina®) | NadPrep UDI Adapter Kit, Set A (for Illumina®) |
Index 1-12 300 pmol / Adapter |
1003211 |
| NadPrep UDI Adapter Kit, Set B (for Illumina®) |
Index 13-24 300 pmol / Adapter |
1003212 | |
| NadPrep UDI Adapter Kit, Set A&B (for Illumina®) |
Index 1-24 300 pmol / Adapter |
1003213 | |
| NadPrep UDI Adapter Kit Set C1 (for Illumina®) | 24 rxn | 1003221 | |
| NadPrep UDI Adapter Kit Set D1 (for Illumina®) | 480 rxn | 1003224 | |
| BMI/UMI Adapter Module | NadPrep BMI Adapter (SI) Module Set A1 (for MGI), 24 rxn | SI 1-12 | 1003811 |
| NadPrep BMI Adapter (SI) Module Set B1 (for MGI), 96 rxn | SI 1-24 | 1003821 | |
| NadPrep BMI Adapter (SI) Module Set B2 (for MGI), 96 rxn | SI 25-48 | 1003822 | |
| NadPrep BMI Adapter (MDI) Module Set A1 (for MGI), 24 rxn | MDI 1-12 | 1003911 | |
| NadPrep BMI Adapter (MDI) Module Set B1 (for MGI), 96 rxn | MDI 1-24 | 1003921 | |
| NadPrep BMI Adapter (MDI) Module Set B2 (for MGI), 96 rxn | MDI 25-48 | 1003922 | |
| NadPrep BMI Adapter (MDI) Module Set B3 (for MGI), 96 rxn | MDI 49-72 | 1003925 | |
| NadPrep BMI Adapter (MDI) Module Set B4 (for MGI), 96 rxn | MDI 73-96 | 1003926 | |
| NadPrep UMI Adapter Kit Set A1 (with 10 nt Index), 24 rxn | 1-12 | 1103111 | |
| NadPrep UMI Adapter Kit Set B1 (with 10 nt Index), 96 rxn | 1-24 | 1103121 | |
| NadPrep UMI Adapter Kit Set B2 (with 10 nt Index), 96 rxn | 25-48 | 1103122 |
Nanodigmbio will contact you within 1 day.
If there are any problems, please contact us by 400 8717 699 / support@njnad.com