Whole genome sequencing (WES) enables high throughput sequencing of the coding regions, which represent 1-2% of the human genome while harboring > 99% of variants associated with human diseases (ClinGen). WES provides insight into multiple variants, including single nucleotide variants (SNVs), insertions and deletions (Indels) and copy number variants variations (CNVs). With lower cost and time of sequencing, WES is widely applied in genomic research, inherited disease screening, cancer diagnostics and etc.
|
Library preparation |
Blocking |
Target capture |
Sequencing |
|
NadPrep DNA Universal Library Preparation Kit (for Illumina®) |
Illumina® Systems |
||
|
MGISEQ |
Fig 1. Performance of the exome sequencing on DNBSEQ-G400 and HiSeq X Ten platforms. The libraries were prepared using NadPrep kits and enriched with Exome Plus Panel v2.0. There was no significant difference between A. mappability, B. on-target rate and C. coverage uniformity.
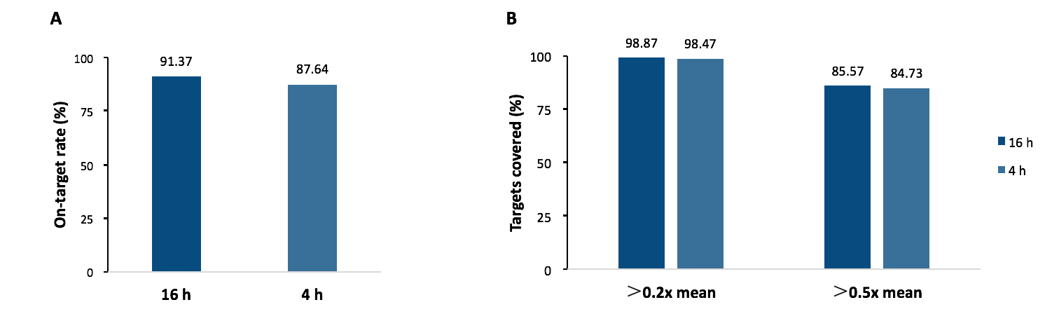
Fig 2. Performance of the exome sequencing with 16 h and 4 h hybridization time. A. On-target rate > 85%; B. Over 98% of targeted regions were sequenced at depth > 0.2 of the coverage mean.