In recent years, rapid hybrid capture workflows have enabled targeted sequencing to enter a “same-day sequencing” era, while also prompting deeper reflection across application fields on how to balance efficiency and performance. Simply shortening hybridization time can improve speed, but may come at the cost of capture performance, leading to higher off-target rates, missed detections in low-coverage regions, and insufficient capture library yield that may fail to meet requirements for sequencing or downstream analysis. Therefore, true experimental efficiency is not merely defined by reduced turnaround time (TAT), but by the coordinated optimization of speed and quality: capturing quickly, abundantly, and uniformly. As the bucket effect illustrates, only when both on-target rate and coverage uniformity reach high levels can data utilization be maximized and sequencing resources be spared from waste.
Meanwhile, current rapid hybrid capture workflows still face practical challenges, including sensitivity to temperature conditions, relatively complex wash steps, high dependence on operator experience, and limited automation compatibility. These factors can hinder workflow standardization and scalability. With the continuous expansion of targeted sequencing applications, there is a growing demand for a flexible and universal solution that supports both low-throughput sample processing and high-throughput large-scale sequencing, while adapting to diverse types and sizes of capture probes. Such a solution would simplify decision-making, ensures robust and reproducible results, and further reduces overall sequencing costs.
To address these needs, Nanodigmbio has comprehensively optimized the hybrid capture system for 120 nt probes and developed NadPrep ES Hybrid Capture Reagents v2. This upgraded solution enables rapid hybridization while significantly shortening TAT, maintains compatibility with diverse probes and application scenarios, and delivers stable and reliable capture performance and high-quality sequencing data, thereby achieving an optimal balance between experimental efficiency and capture performance.
NadPrep ES Hybrid Capture Reagents v2 is an upgraded rapid hybridization and wash reagent kit optimized for targeted capture using 120 nt NAD Probes/Panels. Together with the NadPrep NanoBlockers series and 120 nt NAD Probes/Panels, it forms a complete liquid-phase hybrid capture system. This system supports flexible optimization of capture performance across panels of different sizes by adjusting hybridization time, and enables flexible selection of hybridization durations from 1-16 hours as well as multiplex library pooling from 1-12 plex.
Streamlined System: Only 1 hybridization premix and 1 wash buffer are required, significantly reducing reagent preparation steps, minimizing operational errors, and improving automation compatibility.
Unified Conditions: Only 2 incubation temperatures are involved, avoiding frequent temperature adjustments and making the workflow smoother and easier to scale.
Optimized Workflow: A workflow design of 2 beads washes + 3 heated washes + 1 ethanol wash, greatly improving experimental efficiency while maintaining reliable performance.
Stable and Reproducible: Supports 1-16 hr hybridization time and 1-12-plex library pooling, allowing flexible adjustment according to experimental needs to achieve optimal capture performance.
Stable and Reproducible: A highly standardized workflow reduces dependence on operator experience, enabling different users to obtain stable and consistent capture results.
Comprehensive Improvement: Effectively improves captured library yield, target region coverage, and coverage uniformity, while reducing GC bias, minimizing rework, and lowering sequencing costs.

Figure 1. Comparison of operational workflows and time consumption among different hybrid capture reagents.
Note: Nad-Traditional refers to NadPrep Hybrid Capture Reagents; NadPrep ES v1 and v2 refer to NadPrep ES Hybrid Capture Reagents v1 and v2.
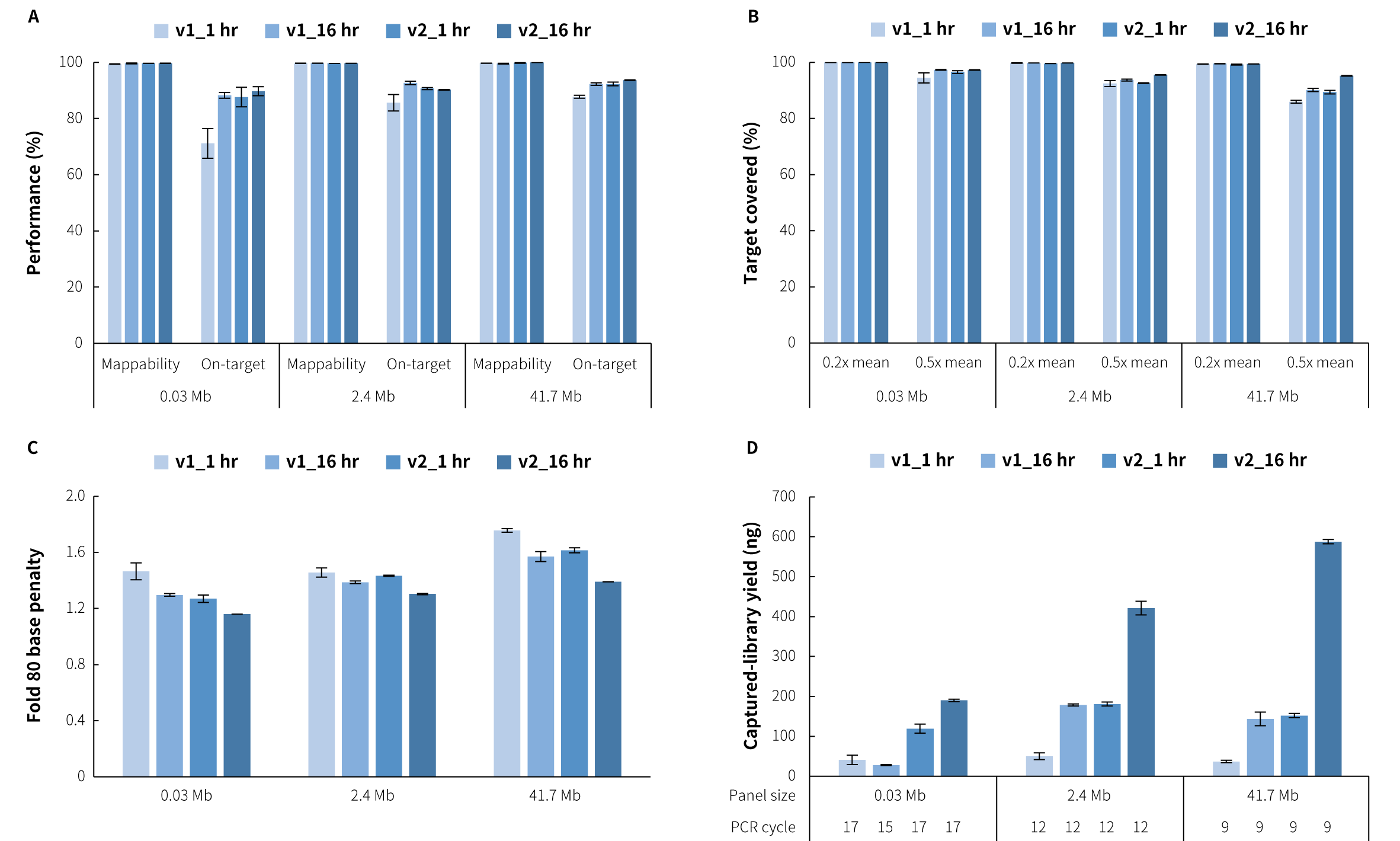
NadPrep NadPrep ES Hybrid Capture Reagents v2 supports flexible hybridization time ranging from 1 to 16 hours, allowing users to optimize capture performance by adjusting the hybridization duration. To comprehensively evaluate performance, we systematically compared NadPrep ES v1 (v1) and v2 across three Panels of different sizes (0.03 Mb, 2.4 Mb, 41.7 Mb) under both 1 hr and 16 hr hybridization conditions.
As shown in Figure 2, for both small and large Panels, v2 under 1 hr hybrid achieved comparable performance to v1 under 16 hr hybrid in terms of on-target rate (A), 0.2x and 0.5x mean coverage (B), Fold 80 base penalty (C), and captured-library yield (D). These results demonstrate that v2 significantly reduces hybridization time without compromising key performance metrics, effectively achieving v2_1 hr (rapid hybrid) ≈ v1_16 hr (overnight hybrid), and balancing efficiency with performance.
In addition, under 16 hr hybrid, v2 shows a significant increase in captured-library yield compared to the 1 hr condition, with slight improvements observed in other performance indicators, demonstrating its flexibility and stability across diverse experimental needs.
Figure 2. Capture performance of NadPrep ES Hybrid Capture Reagents v2 under different hybridization times. Pre-libraries were prepared using the NadPrep EZ DNA Library Preparation Kit v3. 500 ng of each pre-library was used for hybridization capture with panels of different sizes using NadPrep ES Hybrid Capture Reagents v1 and v2. Sequencing was performed on NovaSeq 6000 (PE150). For each sample, appropriate amount of data was randomly selected for subsequent analysis. On-target rate was calculated by the number of reads. A. Mappability and On-target rate; B. Target covered; C. Fold 80 base penalty; D. Captured-library yield.
Note: Samples were Human Genomic DNA Standard (Promega, G1471) and Cell Line gDNA Standard (Coriell, NA12878), with the initial input amount of 50 ng.
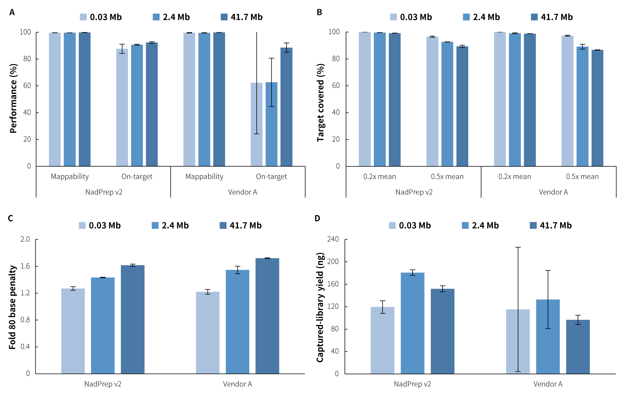
NadPrep NadPrep ES Hybrid Capture Reagents v2 is an upgraded rapid hybridization and wash reagent kit optimized for targeted capture using 120 nt NAD Probes/Panels. To evaluate performance across vendors, we compared v2 with Vendor A using three panels of different sizes under their respective recommended 1 hr hybridization conditions.
As shown in Figure 3, for both large and small panels, NadPrep v2 demonstrated comparable performance to Vendor A in mappability (A), target region coverage (B), and Fold 80 base penalty (C). Notably, NadPrep v2 showed clear advantages in on-target rate (A) and captured-library yield (D), particularly for small and medium Panels (0.03 Mb & 2.4 Mb). These results indicate that NadPrep v2 offers superior adaptability and stability across panels of varying sizes, improving experimental success rates, enhancing data utilization, and reducing overall sequencing costs.
Figure 3. Capture performance of NadPrep ES Hybrid Capture Reagents v2 across panels of different sizes. Pre-libraries were prepared using NadPrep EZ DNA Library Preparation Kit v3. 500 ng of each pre-library was used for hybrid capture using panels of different sizes, combining with NadPrep v2 and Vendor A. Sequencing was performed on NovaSeq 6000 (PE150). A. Mappability and On-target rate; B. Target covered; C. Fold 80 base penalty; D. Captured-library yield.
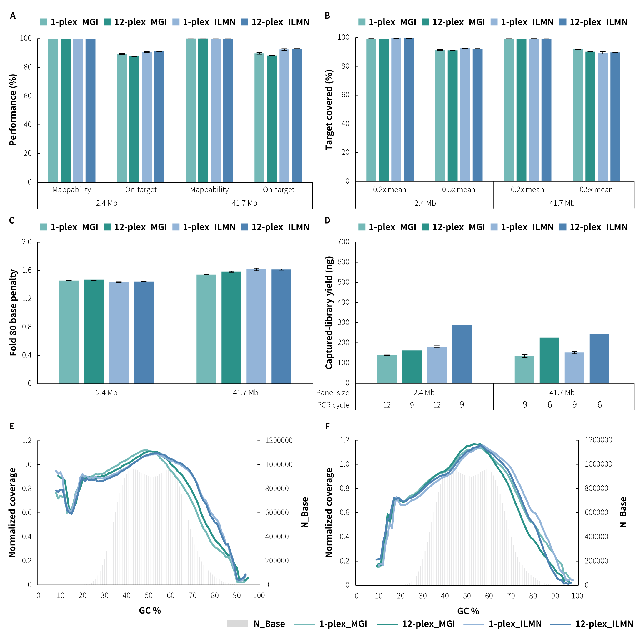
NadPrep ES Hybrid Capture Reagents v2 provides a flexible hybrid capture system compatible with mainstream sequencing platforms, supporting 500 ng per library (1-plex) and up to 6,000 ng across 12 libraries (12-plex) in multiplex hybridization mode. To evaluate performance across platforms and hybridization modes, two representative panels were selected: NanOnco Plus Panel v3.0 (2.4 Mb) and NEXome Core Panel ( 41.7 Mb).
As shown in Figure 4, both Panels delivered consistent performance across two sequencing platforms in terms of mappability, on-target rate, target region coverage, Fold 80 base penalty, and captured-library yield (A-D). Due to differences in sequencing chemistry, DNBSEQ showed slightly lower coverage in high-GC regions compared to NovaSeq (E-F), consistent with met expectations. Importantly, performance remained highly consistent across different hybridization modes. Multiplex hybridization mode effectively reduces experimental cost while maintaining data quality, thereby increasing throughput and lowing sequencing expenses.

Figure 4. Capture performance of NadPrep ES Hybrid Capture Reagents v2 across different multiplex hybridization conditions.Pre-libraries were prepared using NadPrep EZ DNA Library Preparation Kit v3. Hybridization was performed using either 500 ng per pre-library (1-plex) or 6,000 ng total input for 12 pre-libraries (12-plex) across panels of different sizes, combining with NadPrep v2. Sequencing was performed on NovaSeq 6000 (PE150) and DNBSEQ (PE150) respectively. A. Mappability and On-target rate; B. Target covered; C. Fold 80 base penalty; D. Captured-library yield; E. GC bias (2.4 Mb, 1-hr hybridization); F. GC bias (41.7 Mb, 1-hr hybridization).
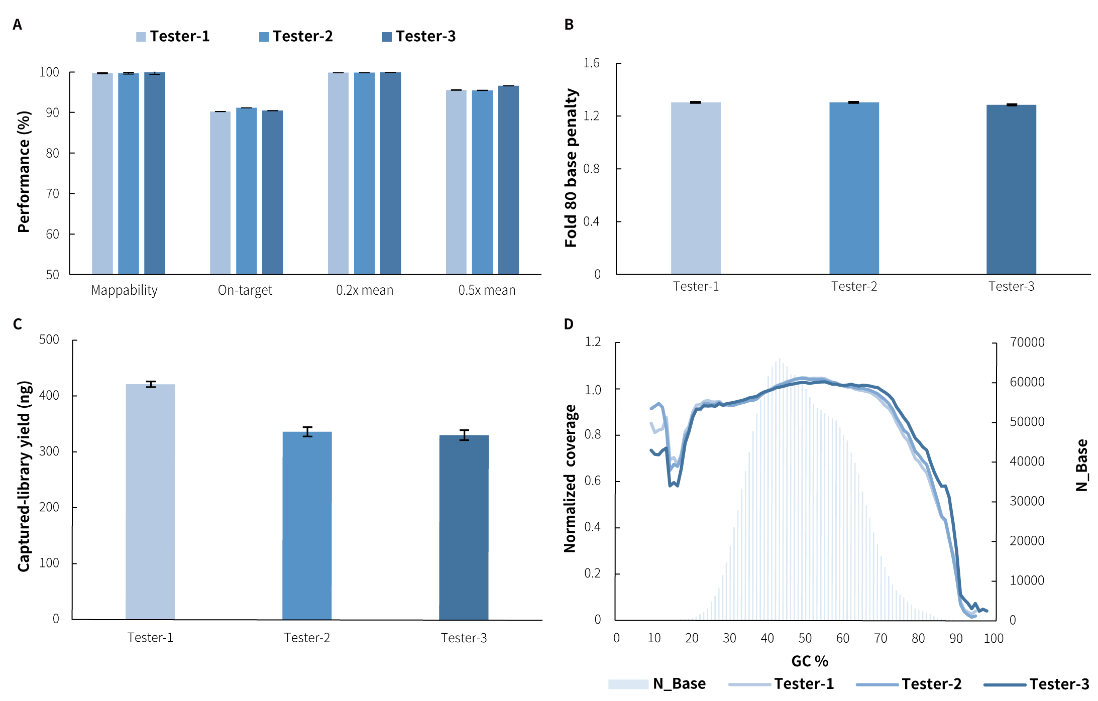
NadPrep ES Hybrid Capture Reagents v2 utilizes only 1 hybridization premix and 1 wash buffer, simplifying the workflow and enabling easier standardization. This reduces dependence on operator experience and improves result consistency. Figure 5 shows results generated independently by three operators with varying levels of experience using NanOnco Plus Panel v3.0 and NadPrep ES Hybrid Capture Reagents v2. The results demonstrate high consistency across all key metrics with minimal batch variation, confirming that NadPrep v2 delivers low operator dependency, high batch stability, and strong reproducibility, making it a reliable and scalable hybrid capture solution.
Figure 5. . Capture performance of NadPrep ES Hybrid Capture Reagents v2 operated by different personal. A. Mappability,
On-target rate and Target covered; B. Fold 80 base penalty;C. Captured-library
yield; D. GC bias.
Note: Samples were Human Genomic DNA Standard (Promega, G1471). 500 ng of pre-library input was used for hybridization (16 hr) with the NanOnco Plus Panel v3.0 (2.4 Mb).
Owing to the mismatch tolerance of biotinylated probes to target sequences and their ability to capture adjacent regions through a pull-down effect, hybrid capture sequencing allows accurate and highly sensitive detection of multiple variant types, including single-nucleotide variants (SNVs), insertions/deletions (InDels), copy number variations (CNVs), structural variations (SVs), and gene fusions. As a research strategy that combines cost-effectiveness, stability, and high reproducibility, this technology has been widely applied in multiple fields, including genetic mutation detection, cancer screening, precision medicine decision-making, and infectious disease diagnostics.
Using LungCancer Panel v1.0, we evaluated variant detection performance across v2, v1, and Vendor A using a reference standard sample containing known variant alle frequencies (VAFs). Results showed that under 1 hr hybrid, all reagents achieved 100% detection of known variants, demonstrating high sensitivity. Notably, NadPrep v2 produced VAFs and copy number results at multiple loci were closer to reference values than Vendor A, indicating higher quantitative accuracy and reliability (Figure 6).
Figure 6. Consistency between observed VAFs and the expected VAFs in reference standards using NadPrep ES Hybrid Capture Reagents v2. Pre-libraries were prepared using NadPrep EZ DNA Library Preparation Kit v3. 500 ng of each pre-library was used for hybrid capture using LungCancer Panel v1.0, combining with NadPrep v2 and v1, as well as Vendor A (1-hr hybridization). Sequencing was performed on NovaSeq 6000 (PE150), and variant analysis was conducted using Vardict.
Note: Samples were PancancerLight 800 gDNA Reference Standard (GeneWell, GW-OGTM800), with an input amount of 50 ng.
NadPrep ES Hybrid Capture Reagents v2 achieves a strong balance between capture performance and experimental efficiency through comprehensive optimization of hybridization and wash system while drastically shortening hybridization time. It delivers stable and consistent performance in the terms of on-target rate, coverage uniformity, and captured-library yield across panels of varying sizes, sequencing platforms, and hybridization modes. The simplified workflow reduces operator dependency and facilitates standardization and scalability. In reference standard validation, v2 demonstrated not only high sensitivity in variant detection but also improved quantitative accuracy, with results closer to expected values.
Going forward, as precision medicine and public health surveillance continue to demand faster TAT, higher throughput, and better data quality, rapid, efficient, high-quality targeted capture solutions will become increasingly important. NadPrep ES Hybrid Capture Reagents v2 well-positioned to support applications in precision oncology, infectious disease detection, and large-scale population screening, enabling implementation and clinical translation of NGS.