公司新闻

好!快!省!靶向封阻非目标 RNA,自由掌控 RNA-Seq

浏览量:2003 / 发布时间:2025-11-10

非目标 RNA 挤占测序资源、FFPE 样本降解严重、NGS 建库流程繁琐……这些都是转录组学研究中常见的 “拦路虎”。谈到非目标 RNA,最令人头疼的往往是核糖体 RNA (rRNA):作为转录组测序 (RNA-Seq) 中主要的干扰源,rRNA 常占总 RNA 的 80% 以上,大量“无用”数据会淹没关键信息,显著降低低丰度转录本的检出率与分析灵敏度。这类问题在众多 RNA 研究与数据分析中均较为常见,亟需针对性的方法和流程优化来加以应对。

需要强调的是,rRNA 并非在所有转录组学研究中都必须强制去除。对于靶向 RNA 测序 (RNACap) 而言,由于捕获探针直接聚焦预设目标区域,rRNA 通常不会显著干扰捕获效率与目标序列的后续分析,因此常规情况下无需额外去除 rRNA。正如上一篇所述,基于纳昂达新推出的 NadPrep® 快速 RNA 文库构建试剂盒的 RNACap 端到端解决方案,即便在文库制备过程中未专门去除 rRNA,也能保持极低的 rRNA 残留,并高效富集外显子等目标区域 (图 1.)。

图 1. RNACap 端到端方案有效提升测序数据利用率。A. rRNA 占比;B. Reads 分布占比。不同起始投入量细胞系 RNA 样本利用 NadPrep® EZ RNA Library Preparation Module 搭配 NadPrep® Universal Adapter (MDI) Module (for MGI) 构建预文库,500 ng/预文库投入杂交,以 NanOnco Plus Panel v2.0 和 NadPrep® Hybrid Capture Reagents 完成捕获。测序模式为 DNBSEQ-T7,PE150,每个样本随机选取 0.3 Gb 用于数据分析。

注:样本为 Human Brain Total RNA (Takara, 636530)。


但对于全转录组测序而言,有效去除 rRNA 是降低测序成本、简化数据分析并提高结果准确性的关键前提。为解决传统磁珠法和酶消法操作繁琐且耗时长等问题,纳昂达于此前推出了适配多系列物种的 rRNA 快速封阻方案。该方案采用靶向封阻策略,在逆转录阶段优先结合并精准阻断 rRNA,仅需一步操作即可高效去除非目标 RNA,同时保留 mRNA、非编码 RNA 及环状 RNA 等目标分子的完整性,真正实现了“一步清除,哪里不要点哪里”,自由掌控 RNA-Seq 结果。


纳昂达 [rRNA 快速封阻方案] 助力 [核糖体印记分析]

Nature Cell Biology (IF = 19.1)


01 纳昂达全转录组测序方案

1.1 rRNA 快速封阻整合快速 RNA 文库制备

目前,在全转录组测序方案中,纳昂达已将 rRNA 快速封阻完美融入至全新的快速 RNA 文库制备流程中,只需一步移液操作将其加入至反应体系,即可为转录组学基础研究与大规模高通量实验提供高效且可靠的全流程解决方案。

以人源 RNA 为例,在 RNA 片段化 & 随机引物结合反应中,NadPrep® rRNA Blocking Reagent (Human) 优先与目标 rRNA 特异性结合,阻断其逆转录及后续二链合成,使其无法进入最终构建的 RNA 测序文库,且在此过程中不会影响随机引物和 Oligo dT 与 RNA 的结合。该方案可针对任意物种进行定制,即使在针对低质量、降解 RNA (例如 FFPE 来源) 样本时也能保证结合特异性,实现稳定的 rRNA 封阻效率。


图 2. 利用 NadPrep® 快速 RNA 文库制备试剂盒衔接上游 rRNA 快速封阻 (全转录组测序方案) 构建常规性与链特异性文库的工作流程示意图。


1.2 特色亮点

任意物种:人/大鼠/小鼠、水稻/拟南芥、斑马鱼等泛物种,支持任意物种或序列定制;

精准靶向:优化探针设计,全面覆盖 rRNA,封阻效果佳,无脱靶效应;

便捷流程:无缝整合至 RNA 文库制备流程,操作简便,高度兼容 NGS 自动化;

广泛应用:核糖体印记分析、宏转录组学研究、表观转录修饰组学研究等。


02 方案表现

2.1 广泛适配多物种 保持 rRNA 低残留

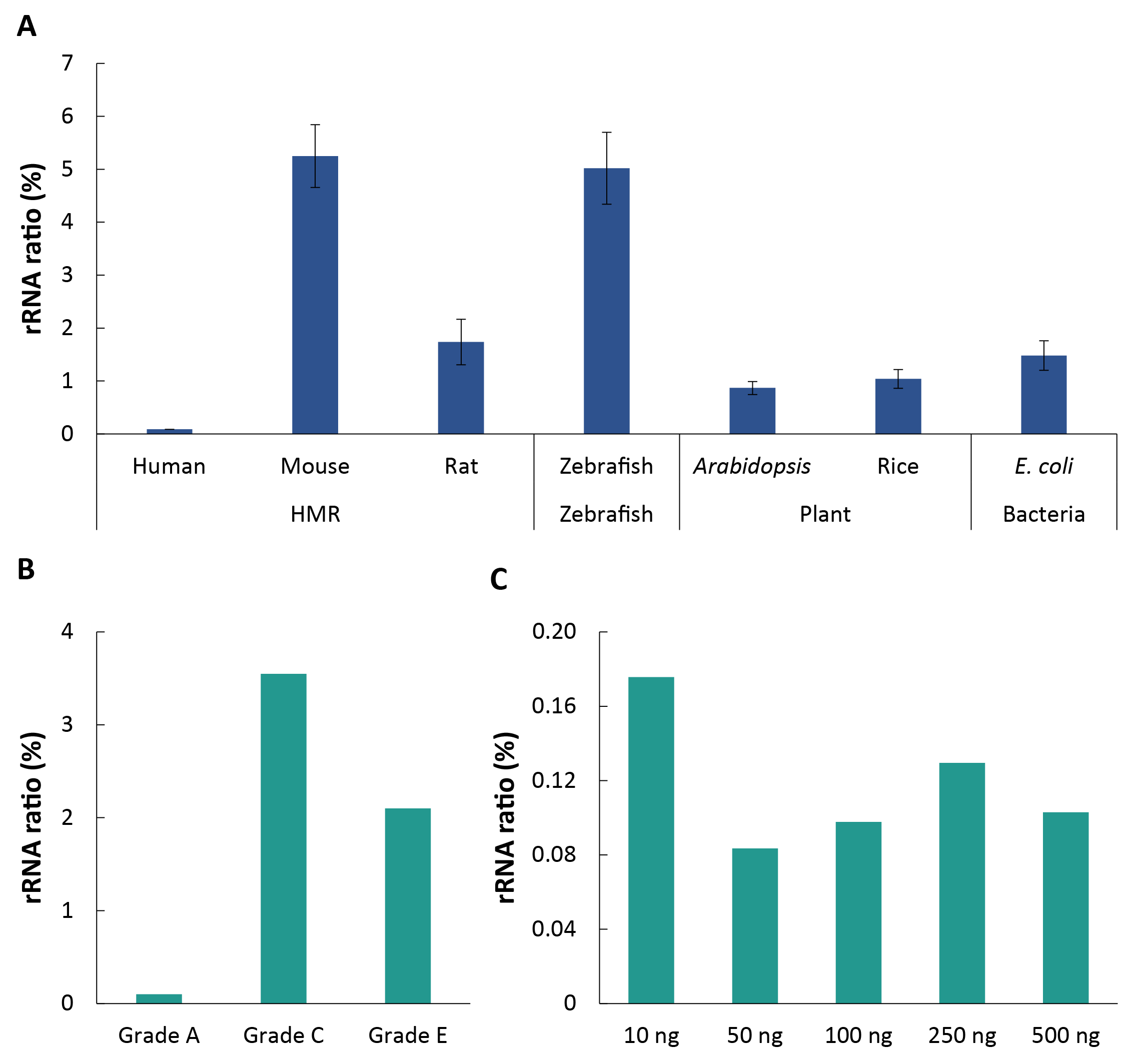
为评估纳昂达全转录组测序方案在不同物种上的封阻效果,我们以 50 ng 起始量的总 RNA 作为测试样本,涵盖人源细胞系 K562、小鼠、大鼠、斑马鱼、拟南芥、水稻等多种模式与非模式物种。结果显示,尽管 rRNA 封阻效率会因物种与样本类型的差异而存在轻微波动,但所有测试物种的 rRNA 残留均低于 6% (图 3. A)。此外,在不同质量等级和不同起始投入量 RNA 样本中,纳昂达全转录组测序方案同样能够稳定、高效地完成 rRNA 封阻 (图 3. B & C),证明了其良好的通用性和兼容性。



3.全转录组测序方案对 A. 不同物种,B. 不同质量等级和 C. 不同起始投入量的 RNA 样本中 rRNA 的封阻效果。测序模式分别为 NovaSeq 6000 (A) DNBSEQ-T7 (B & C),PE150,每个样本随机选取 0.3 Gb 用于数据分析。

注:样本分级标准 | Grade A (细胞系 RNA):RIN ≥ 7;Grade C (FFPE 来源 RNA):DV200 ≥ 50;Grade E (FFPE 来源 RNA):DV200 < 50。图 C 样本为细胞系 RNA


2.2 兼容广泛的投入量范围

纳昂达全转录组测序方案具有广泛的起始投入量范围,支持 10-500 ng 总 RNA 样本的高质量文库制备。为了评估其性能,我们以细胞系 RNA (Takara, 636530) 为模板,在不同起始投入量下,利用 NadPrep® EZ RNA Library Preparation Module 结合 NadPrep® rRNA Blocking Reagent (Human) 分别搭配 NadPrep® Universal Stubby Adapter (UDI) Module (NovaSeq) 和 NadPrep® Universal Adapter (MDI) Module (for MGI) (DNBSEQ) 完成文库构建。结果显示,无论常规性文库还是链特异性文库,纳昂达全转录组测序方案在不同起始投入量下均能达到预期产出 (图 4.),满足后续杂交捕获对文库量的需求。


4. 全转录组测序方案对不同起始投入量细胞系 RNA 样本的建库产出。A. 常规性文库;B. 链特异性文库。


2.3 支持不同质量等级的多类型样本

纳昂达全转录组测序方案具有广泛的样本兼容性,可高效支持不同质量等级 RNA 样本的文库制备。我们以 50 ng 细胞系 RNA 和 FFPE 来源 RNA 样本为模板建库的结果显示,纳昂达全转录组测序方案在常规细胞系 RNA 样本与低质量 FFPE RNA 样本中均能达到预期产出 (图 5.),为下游杂交捕获提供了可靠保障。



5. 全转录组测序方案对不同质量等级的 RNA 样本的建库产出。A. 常规性文库;B. 链特异性文库。


2.4 更高效的文库产出

此外,我们以 50 ng 细胞系 RNA 样本为模板,分别利用 NadPrep®EZ RNA Library Preparation Module (NadPrep) 以及 Vendor A/C 与 Vendor B 结合 NadPrep® rRNA Blocking Reagent (Human) 搭配 NadPrep® Universal Stubby Adapter (UDI) Module 完成文库构建并进行对比分析。结果显示,在较少的扩增循环数下,NadPrep 较 Vendor A/C & B 具有更高的文库产出,表明其建库效率更优 (图 6.)。


6. 结合 NadPrep® rRNA Blocking Reagent NadPrep® 快速 RNA 文库构建试剂盒较 Vendor A/C & B 具有更高效的文库产出。A. 常规性文库;B. 链特异性文库。


2.5 更均匀的转录本覆盖

为了评估全转录组测序方案的基础性能,我们以 50 ng 细胞系 RNA 样本为模板建库结果表明,NadPrep 构建的常规性文库与链特异性文库在转录本覆盖均一性方面均明显优于 Vendor A/C & B (图 7.),这对于保证数据准确性与识别低频变异尤为关键。



7. 结合 NadPrep® rRNA Blocking Reagent NadPrep® 快速 RNA 文库构建试剂盒较 Vendor A/C & B 具有更均匀的转录本覆盖。A. 常规性文库;B. 链特异性文库。测序模式为 NovaSeq 6000,PE150,每个样本随机选取 0.3 Gb 用于数据分析。


2.6 高链特异性 

同样,在链特异性评估中,NadPrep 构建的文库中超过 97.9% 的 reads 都比对到了预期方向链上,显示出良好的链特异性;其表现与市场主流产品 (Vendor B & C) 基本相当 (图 8.)。


8. NadPrep® 快速 RNA 文库构建试剂盒具有较高的链特异性。


03 总结

为满足 RNA-Seq 技术在分子生物学研究与临床精准诊疗中的应用需求,纳昂达全转录组测序方案将 rRNA 快速封阻与快速 RNA 文库制备流程深度协同整合:一方面,rRNA 快速封阻方案有效应对 rRNA 高丰度干扰的核心问题,在抑制 rRNA 测序信号的同时完整保留有效转录本信息,为后续数据分析的准确性奠定坚实基础;另一方面,二链合成、末端修复加 A 步骤的合并操作实现了流程精简,在减少样本损耗的同时进一步缩短实验周期,并显著提升整体建库效率。综合而言,纳昂达全转录组测序方案不仅能够高效支撑 RNA-Seq 的分析需求,也为科研人员在时间控制和实验成本管理方面提供了更具优势的解决方案。