公司新闻

无需序列转化,如何实现超灵敏度甲基化与突变共检?

浏览量:8523 / 发布时间:2024-08-01

01 MSRE 如何替代 BS 实现甲基化检测?

全基因组甲基化测序 (WGBS) 能够实现单碱基分辨率的甲基化状态检测,绘制基因组甲基化状态图谱。众多 WGBS 数据表明,CpG 位点的甲基化状态具有连续性。在 1 Kb 范围内,高达 94% CpG 位点呈现出相同的甲基化状态。这一现象在最近的胚系跨组织 CpG 甲基化特征研究中进一步得到了证实 ( 1.)[1]

fig.1

1. 基因组 CpG 位点甲基化状态具有连续性[1]focal site 邻域的高甲基化 CpG 位点比例与 focal site 的距离相关。小提琴图展示了不同邻域大小下该比例的分布。蓝色和黄色虚线分别表示 focal site 为高甲基化或低甲基化时的中位值。

甲基化敏感限制性内切酶 (MSRE) 能够特异性识别甲基化序列,但这类酶仅能识别一个甲基化碱基位点。以纳昂达 μCaler® DNA Full Screen System (以下简称为 Full Screen,详细介绍参阅上篇:无需转化 超灵敏的甲基化与突变共检方案来了!) 中的 MSRE 为例,该酶仅能识别并覆盖人基因组 12.4% CpG 位点。然而,通过在 MSRE 位点两侧各延伸 500 bp,则能够覆盖 97.28% CpG 位点。在基因启动子区域,该酶可覆盖 8.1% CpG 位点,而在 MSRE 位点两侧延伸 500 bp 后,则能覆盖的启动子区域 72.29% CpG 位点 ( 2.)。因此,考虑到甲基化状态的连续性,尽管 MSRE 直接识别的 CpG 位点有限,依然可用于分析一定区域范围的甲基化状态。

fig.2

2. μCaler® DNA Full Screen System MSRE 识别的 CpG 位点在人基因组 CpG 岛区域和启动子中的分布。

 

02 超越传统 BS 转化,全面提升甲基化位点信息保留率

2.1 显著提升甲基化位点的有效覆盖深度

传统的 BS 处理在转化的同时会导致 DNA 片段的损伤和降解,进而影响甲基化检测,因此在低样本起始量的应用场景中存在限制。而 MSRE 处理不涉及转化,理论上可保留更多的甲基化位点信息。当使用固定的 10 ng 起始投入量,甲基化水平分别为 0%2% 50% 的模拟样本时,Full Screen (MSRE 处理) 相比于 BS 处理,对相同的 13 CpG 位点的平均覆盖深度可达到后者的 6 倍以上,接近 1200x ( 3. A)。当分别使用 5 ng25 ng 50 ng 起始投入量,5% 甲基化水平的模拟样本时,Full Screen 组的 CpG 位点的平均覆盖深度也均为 BS 处理的数倍以上 ( 3. B)

fig.3A

fig.3B

3. μCaler DNA Full Screen System 可提升数倍于 BS 处理方式的 CpG 位点的有效覆盖深度。A. 10 ng 起始投入不同甲基化水平模拟样本和 B. 不同起始投入量 5% 甲基化水平模拟样本的 13 CpG 位点的平均覆盖深度。样本为人甲基化阳性对照 100% Methylated DNA (zymo, D5014-2) 和阴性对照 0% Methylated DNA (zymo, D5014-1),经不同比例混合以模拟不同甲基化水平 (0%2%5% 50% )。模拟样本分别利用 μCaler® DNA Full Screen System 全流程解决方案 (Full Screen) 和 μCaler® 靶向甲基化捕获解决方案 (BS) 完成杂交捕获。测序模式为 Illumina® Novaseq 6000PE150;随机选取 1 M reads pair 进行数据分析。

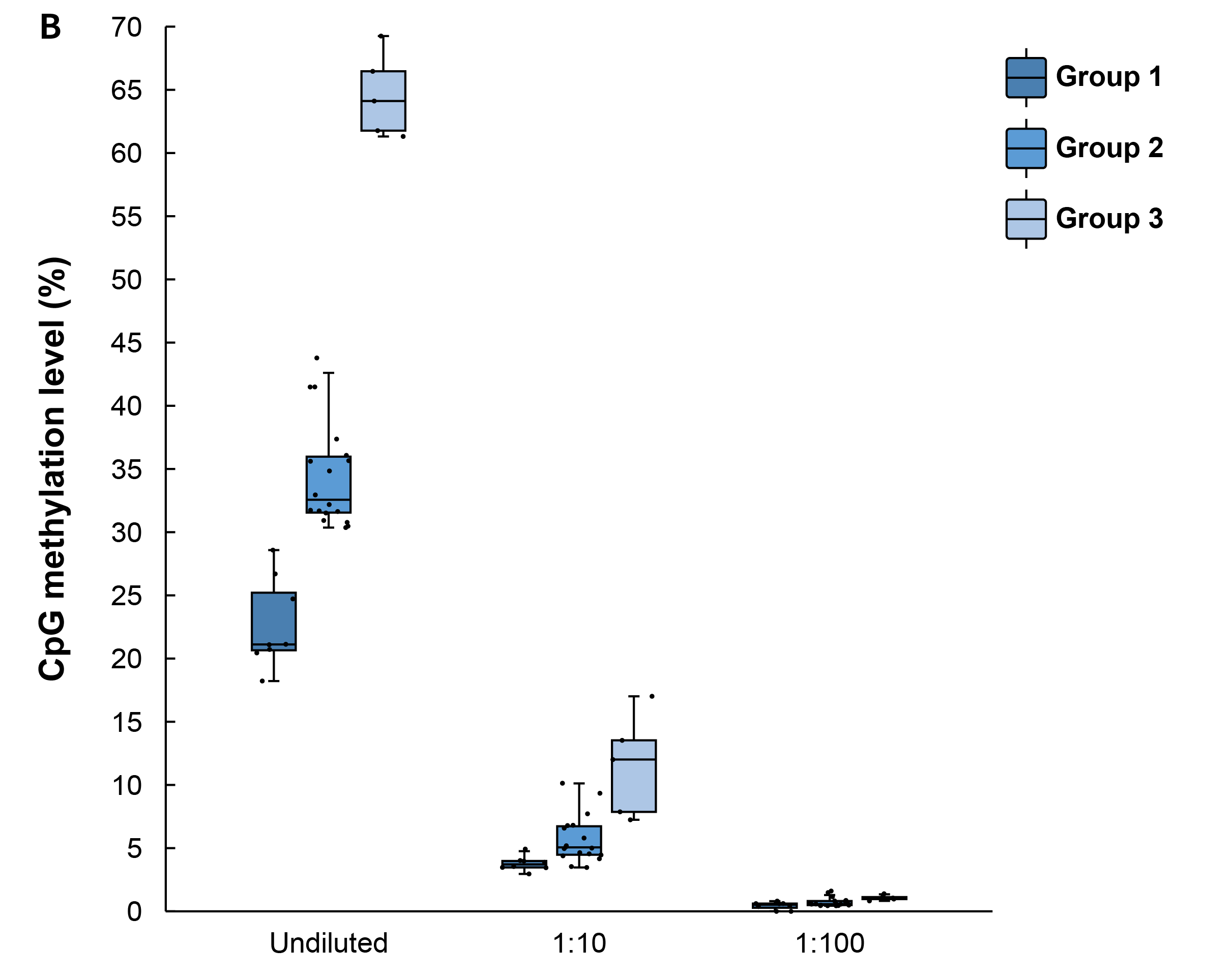
2.2 精准定量甲基化水平 

BS 转化法检测甲基化位点的精确度高,被认为是 DNA 甲基化检测的“金标准”。我们利用甲基化标准品以不同比例混合获得了理论为 0%2%5%50% 甲基化状态的模拟样本,进而验证 Full Screen 组和 BS 处理组的甲基化状态一致性。结果显示,4 组模拟样本的甲基化状态检测值与理论值一致,且 Full Screen 组与 BS 处理组也基本一致 ( 4.)。值得注意的是,Full Screen 组的检测值均更为稳定和一致。这表明 Full Screen 检测结果能够反映样本真实甲基化状态。

fig.4

4. μCaler® DNA Full Screen System 对不同甲基化水平样本的检测结果与理论值一致。模拟样本分别利用 μCaler® DNA Full Screen System 全流程解决方案和 μCaler® 靶向甲基化捕获解决方案 (BS) 完成杂交捕获。测序模式为 Illumina® Novaseq 6000PE150;随机选取 1 M reads pair 进行数据分析。

2.3 酶切效率稳定

尽管 BS 转化效率极高,但并不能达到 100%BS 转化失败的胞嘧啶可能会产生假阳性信号,从而影响甲基化检测的准确性。实验中,通常通过添加外源性的未甲基化 Lambda DNA 作为参照,来确认 BS 转化率是否达到预期,标准 > 99%。与 BS 转化类似,MSRE 的酶切不完全时,同样可能产生假阳性信号。

为了评估 Full Screen 方案中 MSRE 的酶切效率,我们同样通过添加未甲基化的 Lambda DNA 来检测其对未甲基化和完全甲基化 DNA 的切割情况。如图 5. A 所示,Full Screen 组对未甲基化位点的酶切效率达到了 99.96%,而对完全甲基化的酶切效率仅为 0.42%,几乎无法切开。这表明该酶对甲基化位点敏感,同时又能高效切割非甲基化位点。

我们使用 Full Screen 组中未甲基化的 Lambda DNA 的切割效率类比“转化率”,与典型 BS 转化法对比相同位点的转化率。如图 5. B 所示,不同批次 MSRE Lambda DNA 转化率非常稳定,均 > 99.5%,略优于 BS 转化法。

fig.5A

fig.5B

5. μCaler® DNA Full Screen System 可稳定高效地切割非甲基化修饰的酶切位点。A. 完全未甲基化及完全甲基化 MSRE 位点的切割效率;B. Lambda DNA 转化率。

 

03 甲基化与突变一次检出,有效提升样本利用率

健康人群每毫升血液中的 cfDNA 含量仅为 1.2-2.4 ng,而癌症患者虽然 cfDNA 含量显著增加,但中位值也仅为 2.5 ng[2]。如何充分利用这些珍贵的 cfDNA 样本以检测更多的生物标志物,是癌症早期筛查和 MRD 监测中的关键技术挑战之一。以甲基化和突变这两个主要生物标志物为例,因为 DNA 的甲基化需 BS 转化后方能检测,故传统检测方法 (Classical) 需要将上述有限的样本先一分为二,再分别检测。然而,对单一检测方法的“缝缝补补”显然无法突破样本利用率 50% 的上限。

μCaler® DNA Full Screen System 则突破了这一瓶颈,该系统允许在同一个反应体系中同时对甲基化和突变进行联合检测,无疑极大地提高了对低起始量样本,尤其是 cfDNA 的利用效率 ( 6.)

方案原理示意图

6. μCaler® DNA Full Screen System 甲基化与突变一次检出的原理。

3.1 共检测显著提升低频突变检测灵敏度

当进行甲基化和突变共检测时,Full Screen 方案能够利用所有投入的样本量进行突变分析,因此提供了更多的可用模板,从而提升了检测灵敏度。通过标准品及其 110 1100 的梯度稀释,我们构建了甲基化水平分别约为 40%4% 0.4% (31 CpG 位点),相应平均突变频率依次为 2%0.2% 0.02% (3 SNV 突变位点) 的模拟样本。对于共检测,Full Screen 方案使用全部的 40 ng 起始投入量样本进行突变和甲基化分析;而 Classical 组则按 50% (20 ng) 用于突变分析,50% 用于甲基化分析的方式进行。如图 7. 所示,得益于更多的投入量,Full Screen 组可获得高出于 Classical 组约 1 倍的平均有效深度,并在 3 个不同突变频率梯度下检出了更多的支持突变 reads (142 vs. 76; 15 vs. 10; 1 vs. 0)

fig.7A

fig.7B

7. μCaler® DNA Full Screen System 检测到突变平均有效深度比传统方式高出约 1 倍。A. 突变位点的平均覆盖深度;B. 突变位点平均检出 reads 数。以 μCaler® Full Screen LF Custom Panel ( 5 Kb,覆盖 31 CpG 位点) 完成杂交捕获。

3.2 共检测结果示例

除了常规的 SNP、融合、缺失等突变检测外,Full Screen 方案还可以同时实现甲基化检测。图 8. 展示了在上述梯度突变和甲基化标准品中的共检测结果。不同突变类型和突变频率的检出结果与理论值基本一致 ( 8. A)。同时,不同甲基化位点的检测值也符合预期,且不同组之间的梯度分明 ( 8. B)

fig.8A

fig.8B

8. μCaler® DNA Full Screen System 应用于甲基化与突变共检的表现。A. 不同位点的突变频率与标准品标称频率一致;B. 不同模拟样本的平均甲基化水平。以 μCaler® Full Screen LF Custom Panel ( 5 Kb,覆盖 31 CpG 位点) 完成杂交捕获。

 

04 超灵敏甲基化与突变共检端到端全流程解决方案

fig.9

μCaler® DNA Full Screen System 基于纳昂达独家专利的 μCaler® 超灵敏度探针捕获技术开发,无需序列转化,且仅需 1 份起始样本 + 1 个杂交反应 + 1 套捕获探针即可实现超高灵敏度全景式突变与甲基化共检,可为肿瘤的精准诊疗和预后评估提供更有力的技术支持。该方案包括从方案设计到全套自研试剂、从湿实验支持到生信分析的贴心服务,易于上手,不难精通。

 

我们将在后续篇章中带来更多应用于真实样本的表现,敬请关注!

若感兴趣,欢迎咨询 sales@njnad.com 或联系当地销售。



参考文献

[1] Yichen Si, Hyun Min Kang, Sebastian Zollner. Germline CpG methylation signatures in the human population inferred from genetic polymorphism[J]. bioRxiv, 2024.

[2] van der Pol Y, Mouliere F. Toward the Early Detection of Cancer by Decoding the Epigenetic and Environmental Fingerprints of Cell-Free DNA [J]. Cancer Cell, 2019, 36(4):350-368.